मध्य प्रदेश : PHQ ने MP पुलिस के 300 से ज्यादा आरक्षकों के तबादले किये, पदस्थापना आदेश जारी, देखें लिस्ट…

भोपाल : मध्य प्रदेश में तबादला एक्सप्रेस दौड़ रही है, राज्य शासन लगातार तबला आदेश लगातार जारी कर रहा है इसी कड़ी में पुलिस मुख्यालय भोपाल ने भी थोकबंद तबादला आदेश जारी किये हैं , पीएचक्यू ने 300 से ज्यादा आरक्षकों की तबादला सूची जारी की है।

पुलिस मुख्यालय भोपाल ने  विभागीय स्तर पर थोकबंद तबादले किये इसमें उप निरीक्षक, सहायक उप निरीक्षक, प्रधान आरक्षक, कार्यवाहक उप निरीक्षक, कार्यवाहक सहायक उप निरीक्षक और कार्यवाहक प्रधान आरक्षकों के नाम शामिल हैं।

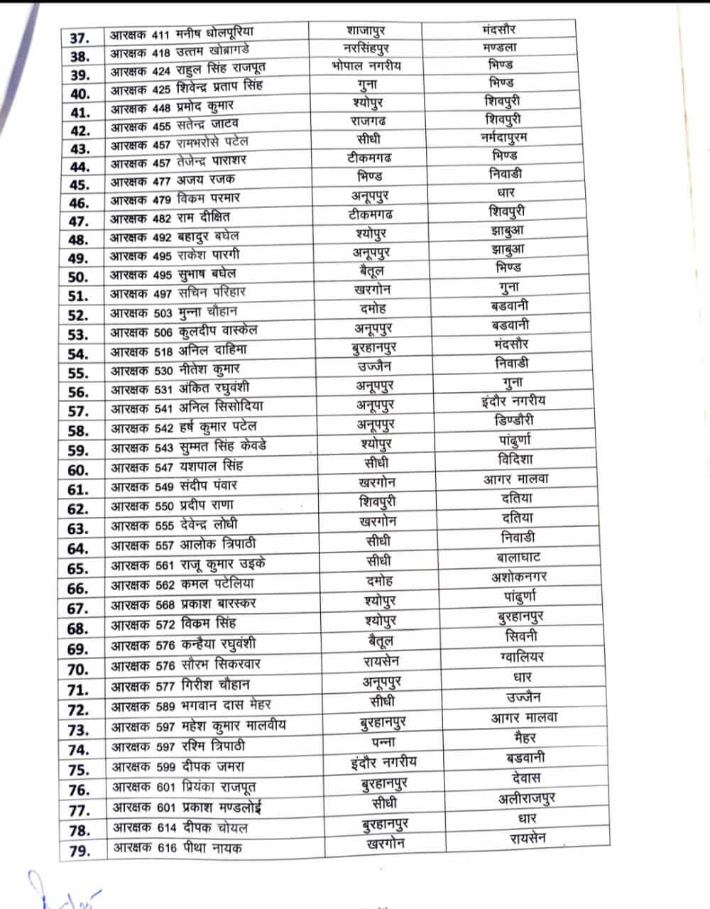
PHQ ने 343 आरक्षकों के तबादले किये  

इन तबादलों के बाद पुलिस ने एक और सूची जारी की जिसमें पुलिस आरक्षकों के तबादला आदेश हैं, पुलिस स्थापना बोर्ड की अनुशंसा के बाद जारी आदेश में 343 आरक्षकों को एक जिले से दूसरे जिले में पदस्थ किया गया है।

ट्रांसफर नीति के मुताबिक निर्धारित अवधि में कार्यमुक्त करने के आदेश 

आदेश में कहा गया है कि ट्रांसफर किये गए आरक्षक को तबादला नीति के अनुसार निश्चित समयावधि में कार्य मुक्त किया जाये, यदि ट्रांसफर किया गया कर्मचारी निलंबित है तो उसे कार्यमुक्त ना किया जाये और उसकी सूचना पुलिस मुख्यालय को दी जाये।

Transfer News : PHQ ने MP Police के 300 से ज्यादा आरक्षकों के तबादले किये, पदस्थापना आदेश जारी, देखें लिस्ट
Transfer News : PHQ ने MP Police के 300 से ज्यादा आरक्षकों के तबादले किये, पदस्थापना आदेश जारी, देखें लिस्ट
Transfer News : PHQ ने MP Police के 300 से ज्यादा आरक्षकों के तबादले किये, पदस्थापना आदेश जारी, देखें लिस्ट
Transfer News : PHQ ने MP Police के 300 से ज्यादा आरक्षकों के तबादले किये, पदस्थापना आदेश जारी, देखें लिस्ट
Transfer News : PHQ ने MP Police के 300 से ज्यादा आरक्षकों के तबादले किये, पदस्थापना आदेश जारी, देखें लिस्ट
Transfer News : PHQ ने MP Police के 300 से ज्यादा आरक्षकों के तबादले किये, पदस्थापना आदेश जारी, देखें लिस्ट
Transfer News : PHQ ने MP Police के 300 से ज्यादा आरक्षकों के तबादले किये, पदस्थापना आदेश जारी, देखें लिस्ट
Transfer News : PHQ ने MP Police के 300 से ज्यादा आरक्षकों के तबादले किये, पदस्थापना आदेश जारी, देखें लिस्ट
Transfer News : PHQ ने MP Police के 300 से ज्यादा आरक्षकों के तबादले किये, पदस्थापना आदेश जारी, देखें लिस्ट

Leave a Reply